Официальное опубликование правовых актов
ОФИЦИАЛЬНОЕ ОПУБЛИКОВАНИЕ
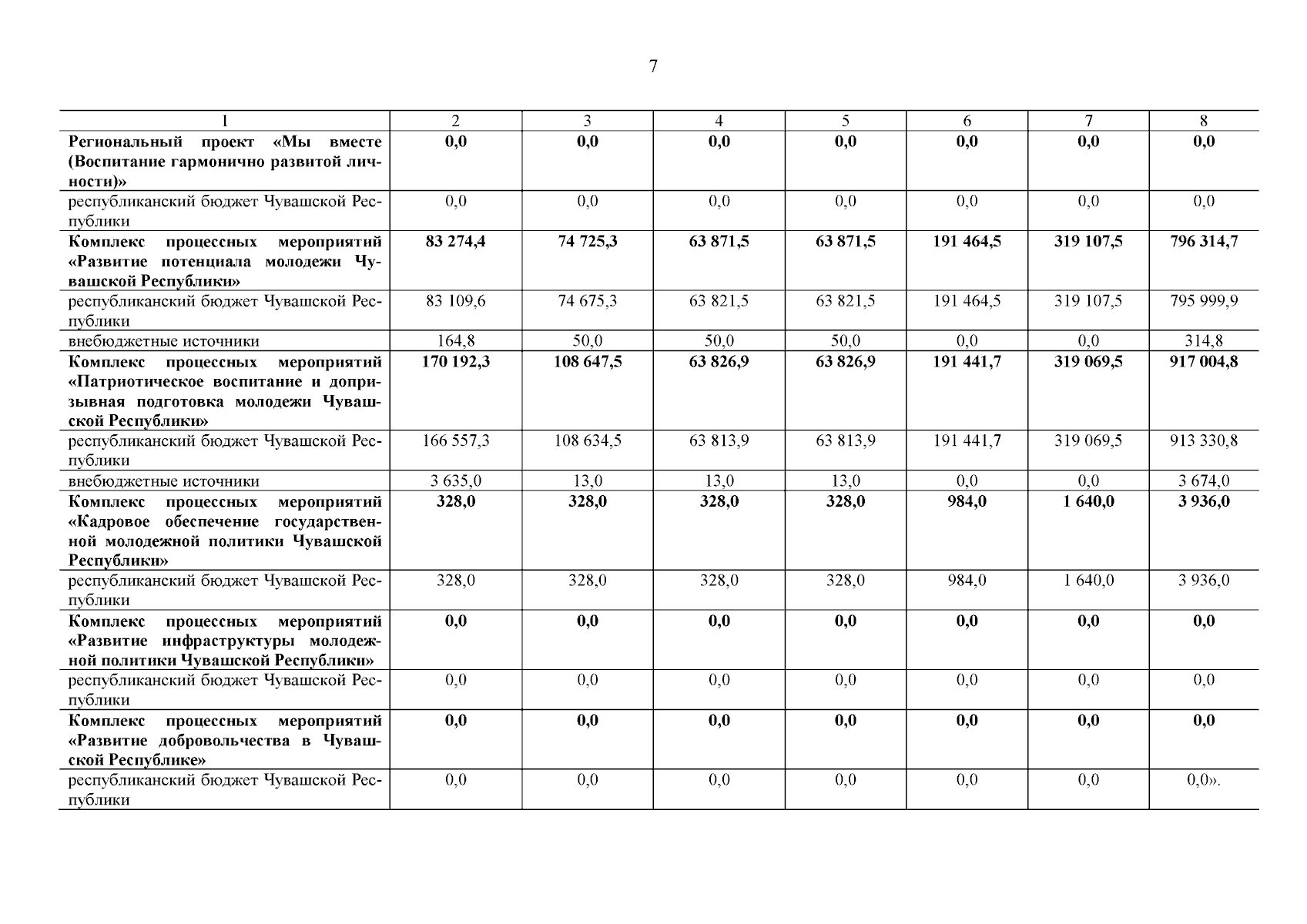
Постановление Кабинета Министров Чувашской Республики от 21.02.2025 № 106
"О внесении изменений в государственную программу Чувашской Республики "Молодежь Чувашской Республики"
Номер опубликования: 2100202502240005
Дата опубликования: 24.02.2025
Страница №8 из 12:
Увеличить