Официальное опубликование правовых актов
ОФИЦИАЛЬНОЕ ОПУБЛИКОВАНИЕ
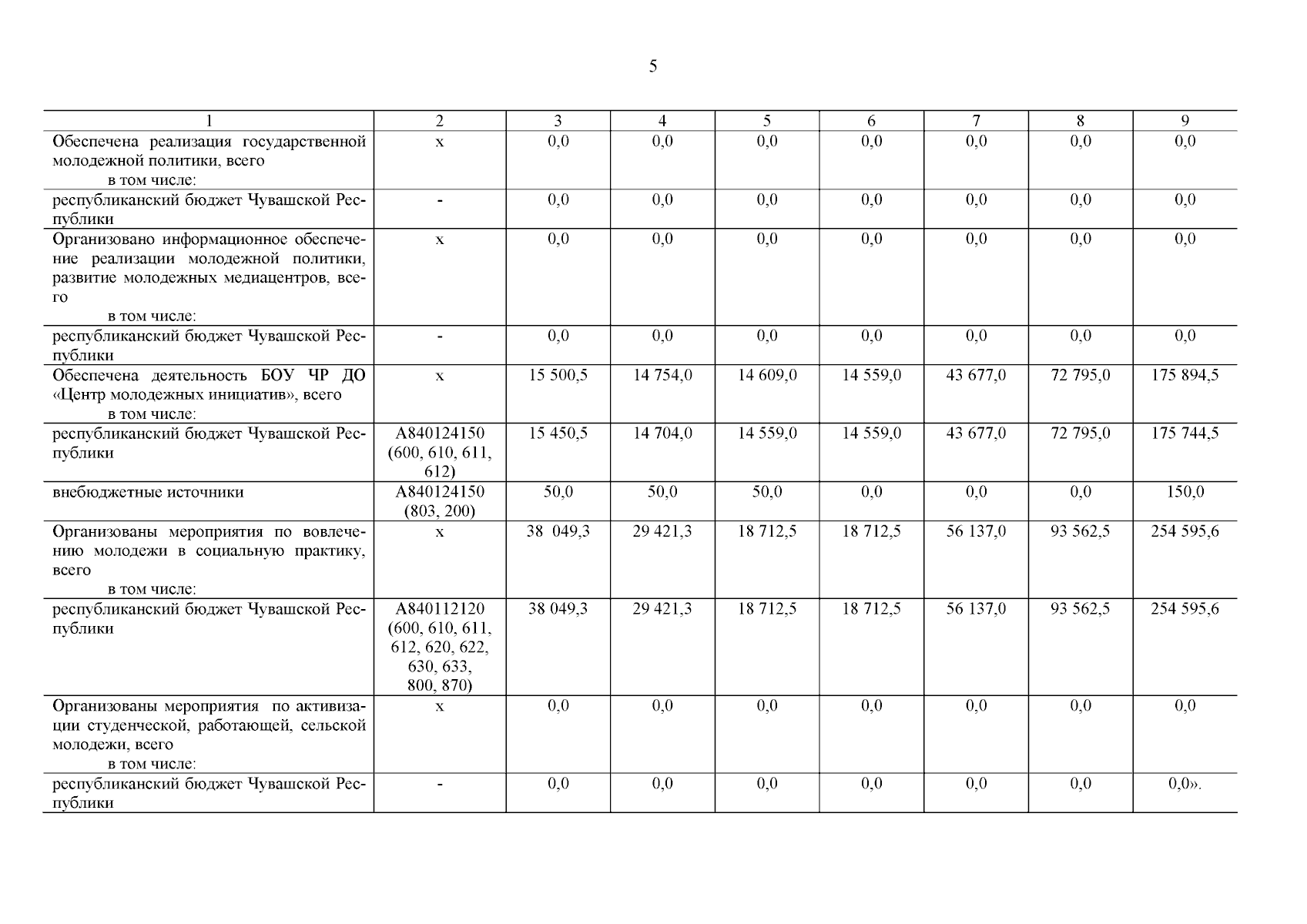
Постановление Кабинета Министров Чувашской Республики от 12.12.2024 № 695
"О внесении изменений в государственную программу Чувашской Республики "Молодежь Чувашской Республики"
Номер опубликования: 2100202412170007
Дата опубликования: 17.12.2024
Страница №6 из 9:
Увеличить