Официальное опубликование правовых актов
ОФИЦИАЛЬНОЕ ОПУБЛИКОВАНИЕ
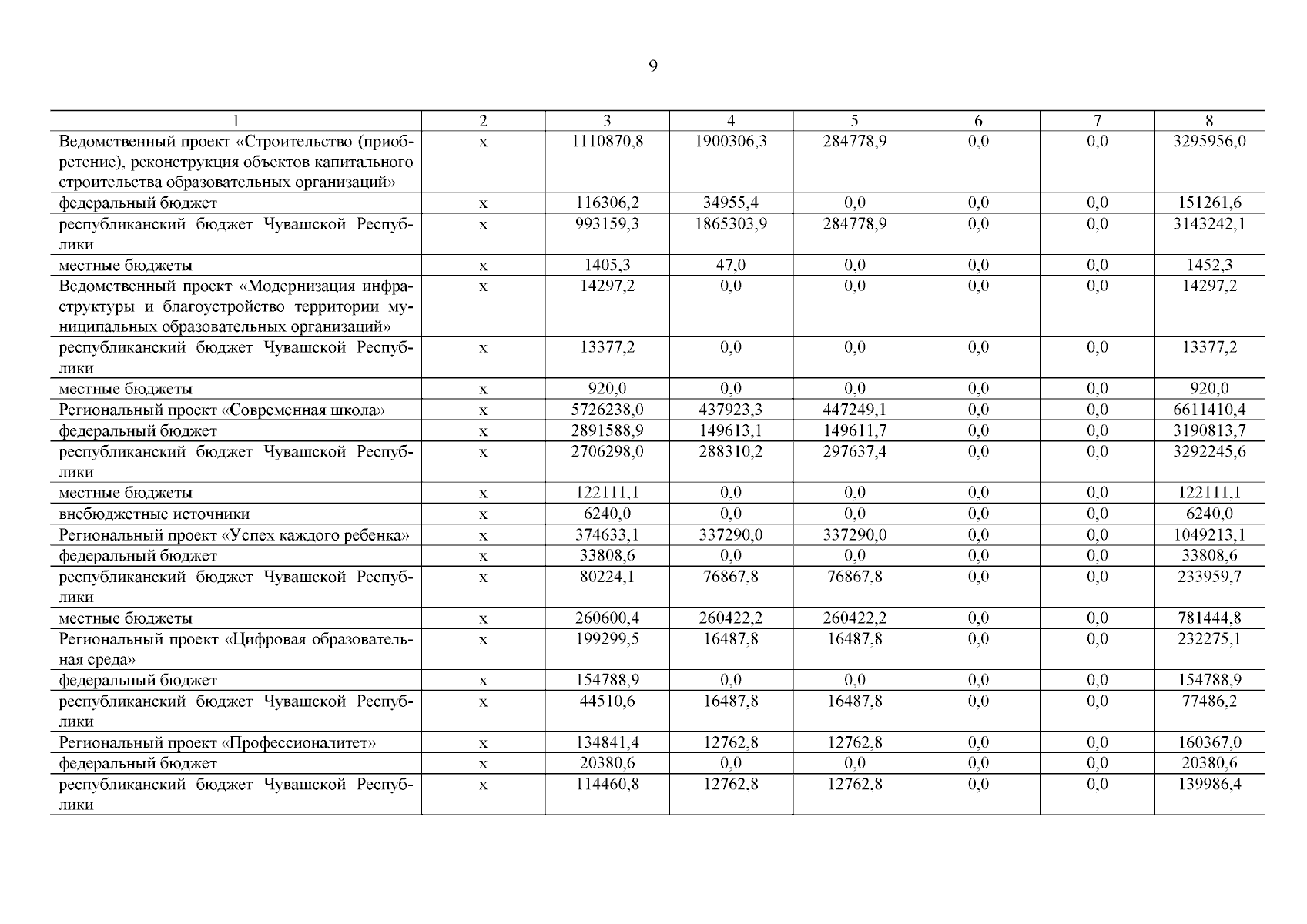
Постановление Кабинета Министров Чувашской Республики от 27.11.2024 № 656
"О внесении изменений в государственную программу Чувашской Республики "Развитие образования"
Номер опубликования: 2100202411280006
Дата опубликования: 28.11.2024
Страница №10 из 48:
Увеличить