Официальное опубликование правовых актов
ОФИЦИАЛЬНОЕ ОПУБЛИКОВАНИЕ
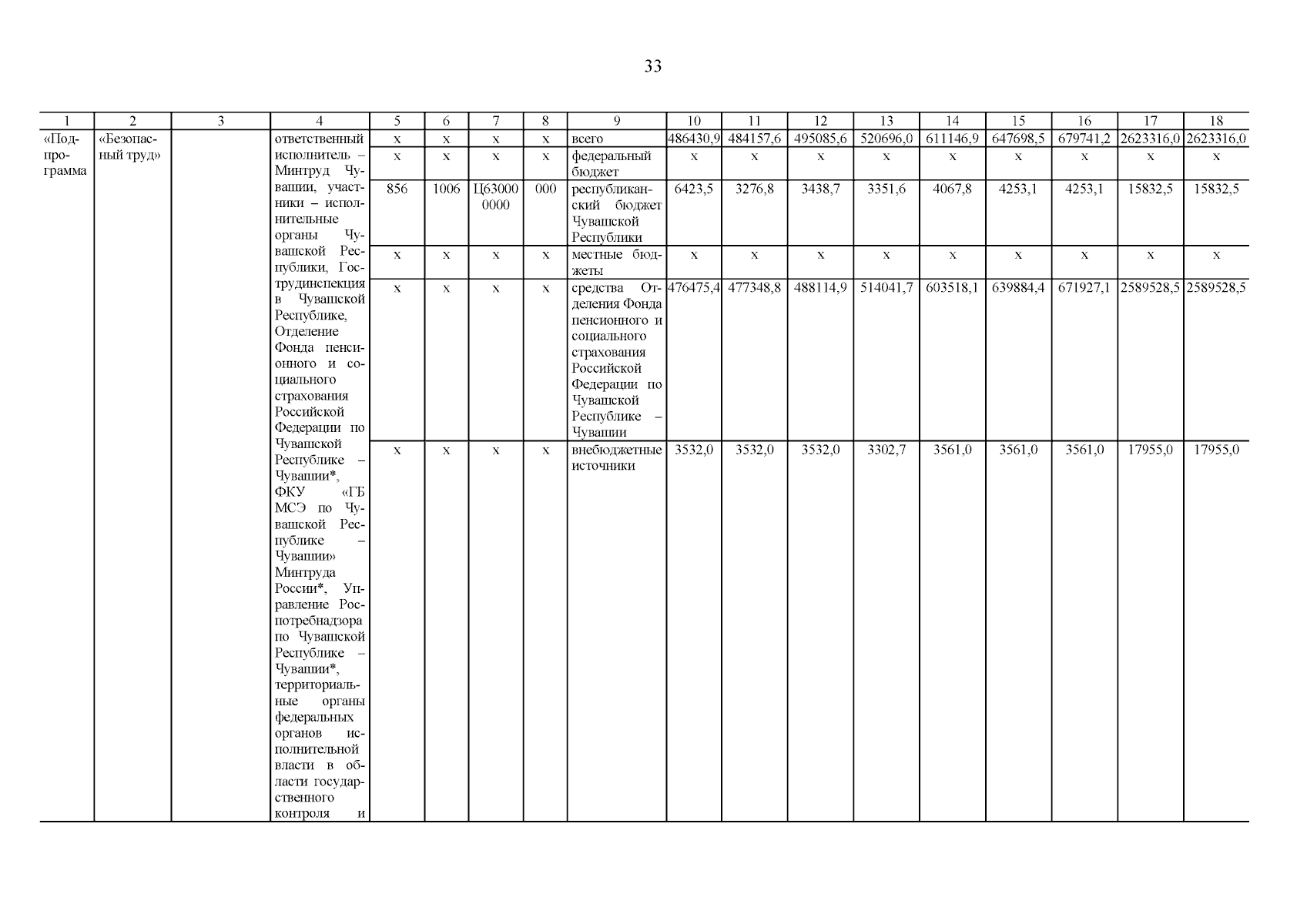
Постановление Кабинета Министров Чувашской Республики от 07.12.2023 № 766
"О внесении изменений в государственную программу Чувашской Республики "Содействие занятости населения"
Номер опубликования: 2100202312080004
Дата опубликования: 08.12.2023
Страница №34 из 45:
Увеличить