Официальное опубликование правовых актов
ОФИЦИАЛЬНОЕ ОПУБЛИКОВАНИЕ
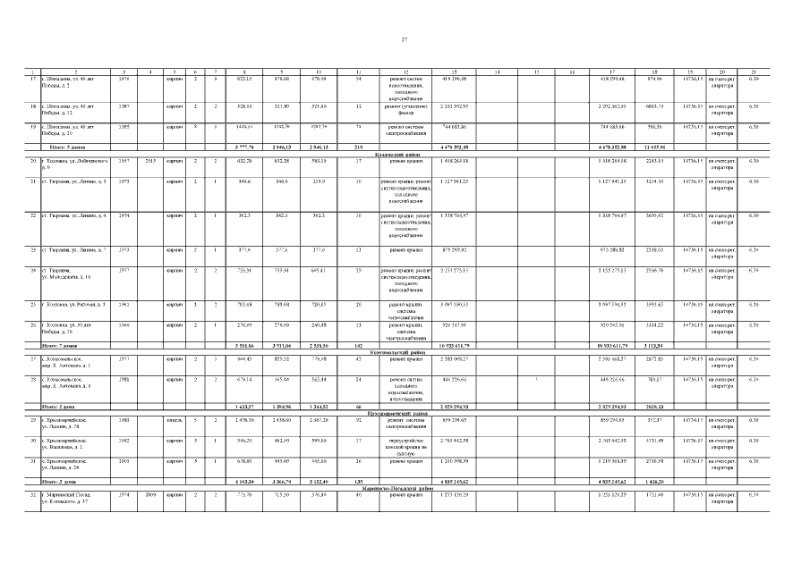
Постановление Кабинета Министров Чувашской Республики от 11.07.2022 № 328
"О внесении изменений в постановление Кабинета Министров Чувашской Республики от 25 октября 2017 г. № 429"
Номер опубликования: 2100202207120013
Дата опубликования: 12.07.2022
Страница №29 из 109:
Увеличить