Официальное опубликование правовых актов
ОФИЦИАЛЬНОЕ ОПУБЛИКОВАНИЕ
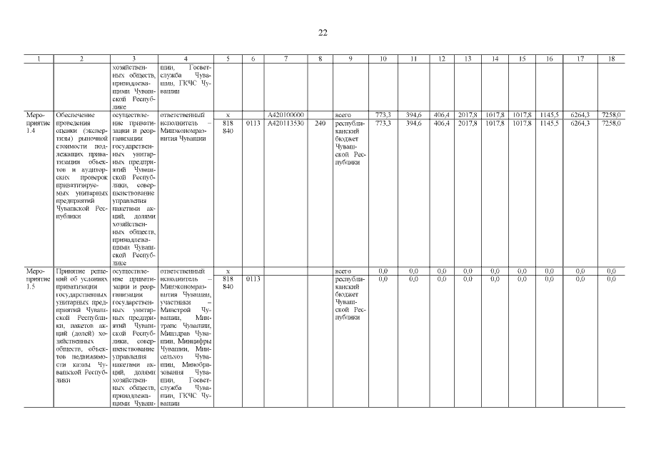
Постановление Кабинета Министров Чувашской Республики от 08.06.2022 № 258
"О внесении изменений в государственную программу Чувашской Республики "Развитие земельных и имущественных отношений"
Номер опубликования: 2100202206100017
Дата опубликования: 10.06.2022
Страница №23 из 30:
Увеличить