Официальное опубликование правовых актов
ОФИЦИАЛЬНОЕ ОПУБЛИКОВАНИЕ
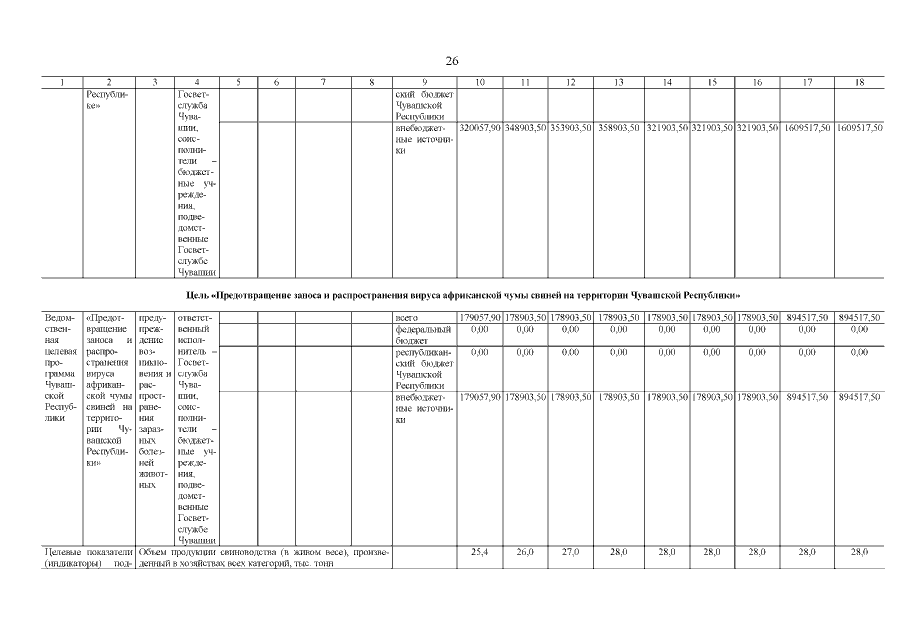
Постановление Кабинета Министров Чувашской Республики от 22.04.2022 № 175
"О внесении изменений в государственную программу Чувашской Республики "Развитие сельского хозяйства и регулирование рынка сельскохозяйственной продук­ции, сырья и продовольствия Чувашской Республики"
Номер опубликования: 2100202204260004
Дата опубликования: 26.04.2022
Страница №27 из 139:
Увеличить