Официальное опубликование правовых актов
ОФИЦИАЛЬНОЕ ОПУБЛИКОВАНИЕ
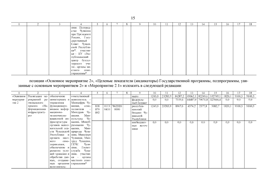
Постановление Кабинета Министров Чувашской Республики от 20.12.2021 № 671
"О внесении изменений в государ­ственную программу Чувашской Республики "Цифровое общество Чувашии"
Номер опубликования: 2100202112210001
Дата опубликования: 21.12.2021
Страница №16 из 18:
Увеличить