Официальное опубликование правовых актов
ОФИЦИАЛЬНОЕ ОПУБЛИКОВАНИЕ
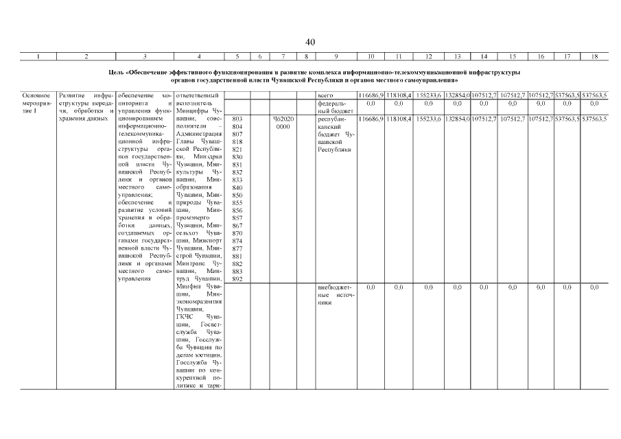
Постановление Кабинета Министров Чувашской Республики от 15.11.2021 № 577
"О внесении изменений в государственную программу Чувашской Республики "Цифровое общество Чувашии"
Номер опубликования: 2100202111170006
Дата опубликования: 17.11.2021
Страница №41 из 67:
Увеличить