Официальное опубликование правовых актов
ОФИЦИАЛЬНОЕ ОПУБЛИКОВАНИЕ
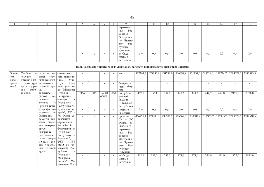
Постановление Кабинета Министров Чувашской Республики от 13.10.2021 № 512
"О внесении изменений в государственную программу Чувашской Республики "Содействие занятости населения"
Номер опубликования: 2100202110140005
Дата опубликования: 14.10.2021
Страница №53 из 82:
Увеличить