Официальное опубликование правовых актов
ОФИЦИАЛЬНОЕ ОПУБЛИКОВАНИЕ
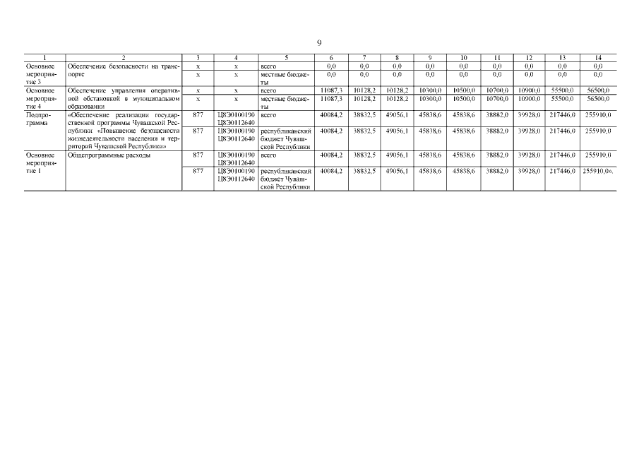
Постановление Кабинета Министров Чувашской Республики от 09.06.2021 № 262
"О внесении изменений в государственную программу Чувашской Республики "Повышение безопасности жизнедеятельности населения и территорий Чувашской Республики"
Номер опубликования: 2100202106170023
Дата опубликования: 17.06.2021
Страница №10 из 35:
Увеличить