Официальное опубликование правовых актов
ОФИЦИАЛЬНОЕ ОПУБЛИКОВАНИЕ
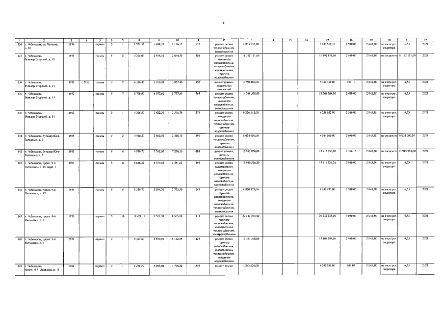
Постановление Кабинета Министров Чувашской Республики от 09.06.2021 № 251
"О внесении изменений в постановление Кабинета Министров Чувашской Республики от 9 декабря 2020 г. № 692"
Номер опубликования: 2100202106170009
Дата опубликования: 17.06.2021
Страница №13 из 79:
Увеличить