Официальное опубликование правовых актов
ОФИЦИАЛЬНОЕ ОПУБЛИКОВАНИЕ
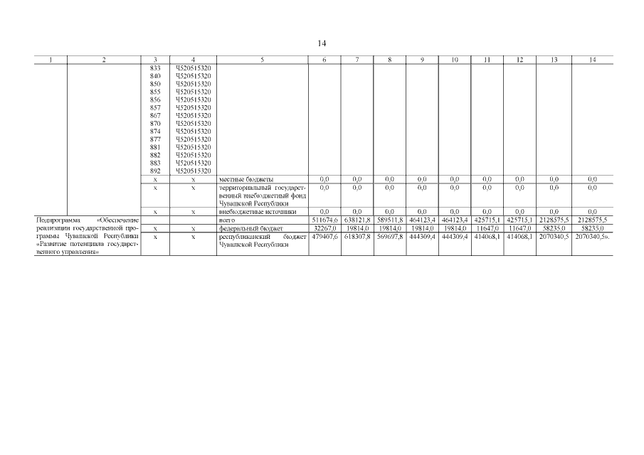
Постановление Кабинета Министров Чувашской Республики от 26.12.2020 № 747
"О внесении изменений в государственную программу Чувашской Республики "Развитие потенциала государственного управления"
Номер опубликования: 2100202012280009
Дата опубликования: 28.12.2020
Страница №15 из 66:
Увеличить