Официальное опубликование правовых актов
ОФИЦИАЛЬНОЕ ОПУБЛИКОВАНИЕ
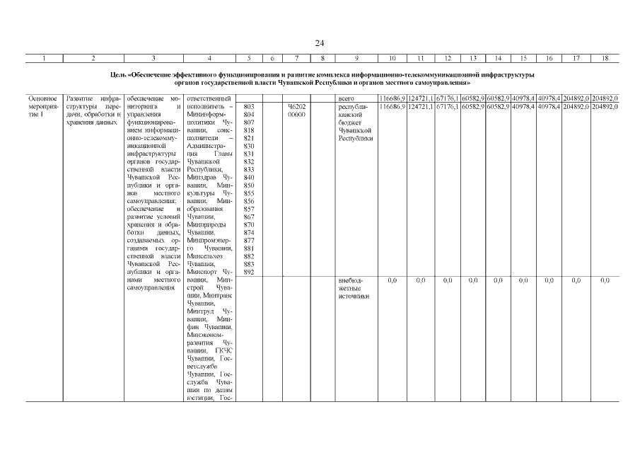
Постановление Кабинета Министров Чувашской Республики от 04.12.2020 № 679
"О внесении изменений в государ­ственную программу Чувашской Республики "Цифровое общество Чувашии"
Номер опубликования: 2100202012070002
Дата опубликования: 07.12.2020
Страница №25 из 46:
Увеличить