Официальное опубликование правовых актов
ОФИЦИАЛЬНОЕ ОПУБЛИКОВАНИЕ
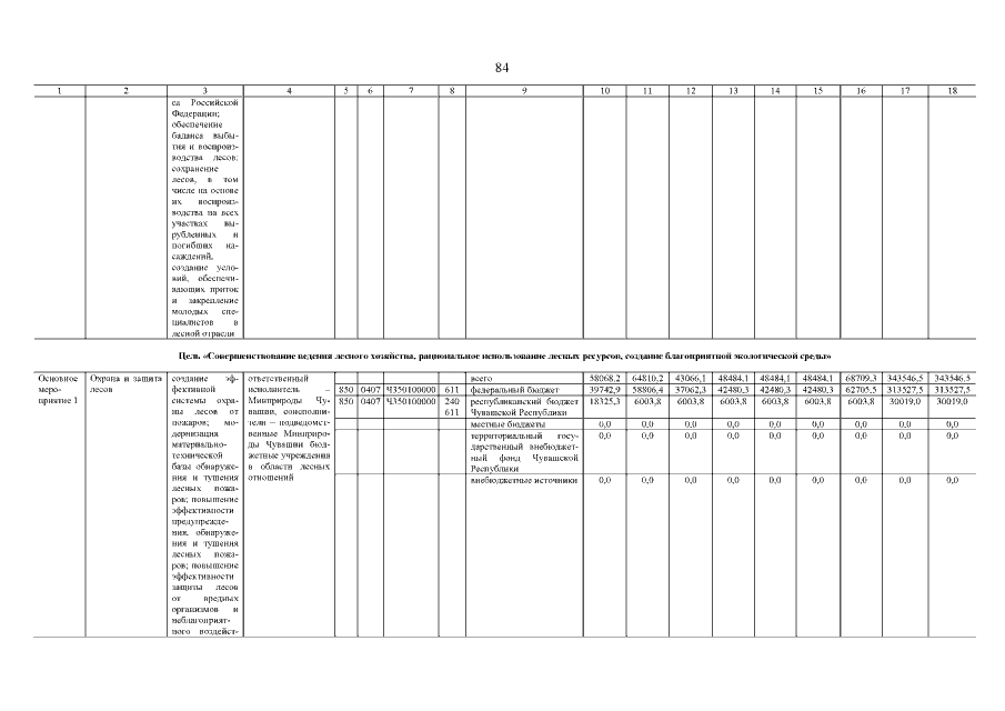
Постановление Кабинета Министров Чувашской Республики от 24.04.2020 № 212
"О внесении изменений в государственную программу Чувашской Республики "Развитие потенциала природно-сырье­вых ресурсов и обеспечение экологической безопасности"
Номер опубликования: 2100202004280002
Дата опубликования: 28.04.2020
Страница №85 из 178:
Увеличить