Официальное опубликование правовых актов
ОФИЦИАЛЬНОЕ ОПУБЛИКОВАНИЕ
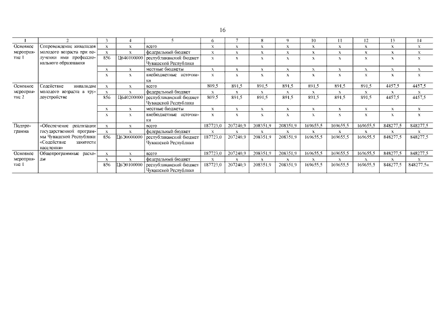
Постановление Кабинета Министров Чувашской Республики от 22.04.2020 № 209
"О внесении изменений в государственную программу Чувашской Республики "Содействие занятости населения"
Номер опубликования: 2100202004230018
Дата опубликования: 23.04.2020
Страница №17 из 92:
Увеличить