Официальное опубликование правовых актов
ОФИЦИАЛЬНОЕ ОПУБЛИКОВАНИЕ
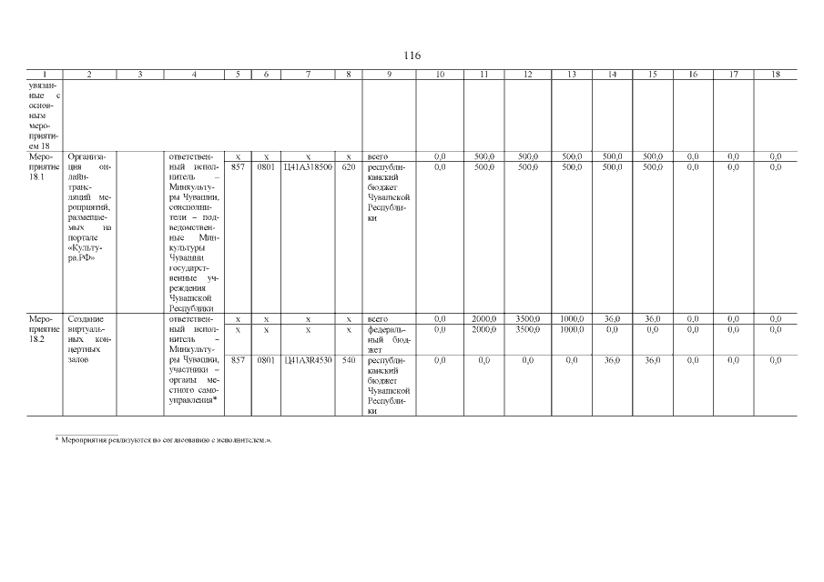
Постановление Кабинета Министров Чувашской Республики от 05.03.2020 № 80
"О внесении изменений в государственную программу Чувашской Республики "Развитие культуры и туризма"
Номер опубликования: 2100202003100001
Дата опубликования: 10.03.2020
Страница №117 из 161:
Увеличить