Официальное опубликование правовых актов
ОФИЦИАЛЬНОЕ ОПУБЛИКОВАНИЕ
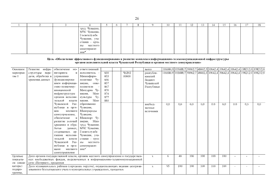
Постановление Кабинета Министров Чувашской Республики от 18.12.2019 № 558
"О внесении изменений в государ­ствен­ную программу Чувашской Республики "Цифровое общество Чувашии"
Номер опубликования: 2100201912230007
Дата опубликования: 23.12.2019
Страница №27 из 62:
Увеличить