Официальное опубликование правовых актов
ОФИЦИАЛЬНОЕ ОПУБЛИКОВАНИЕ
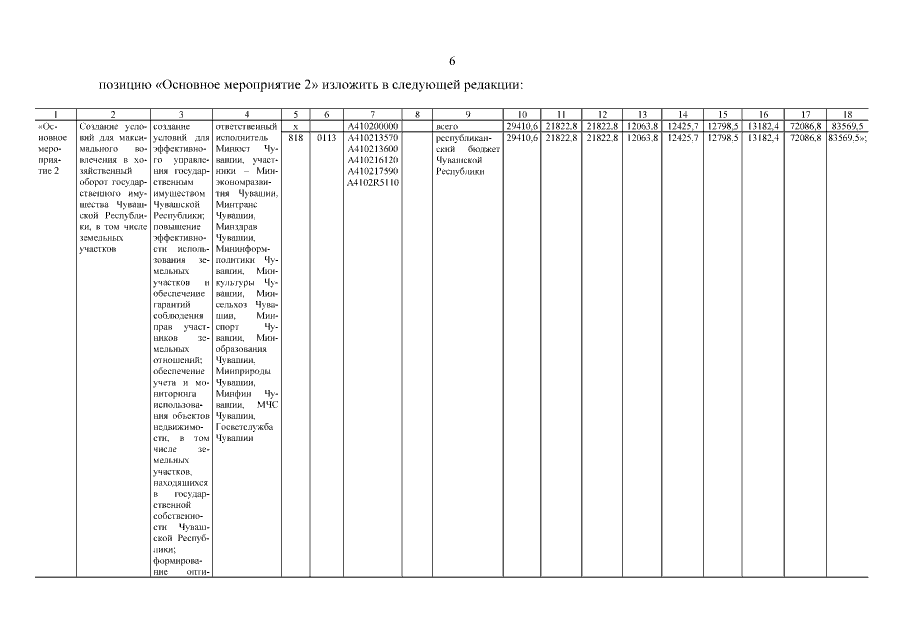
Постановление Кабинета Министров Чувашской Республики от 13.11.2019 № 473
"О внесении изменений в государственную программу Чувашской Республики "Развитие земельных и имущественных отношений"
Номер опубликования: 2100201911150002
Дата опубликования: 15.11.2019
Страница №7 из 13:
Увеличить