Официальное опубликование правовых актов
ОФИЦИАЛЬНОЕ ОПУБЛИКОВАНИЕ
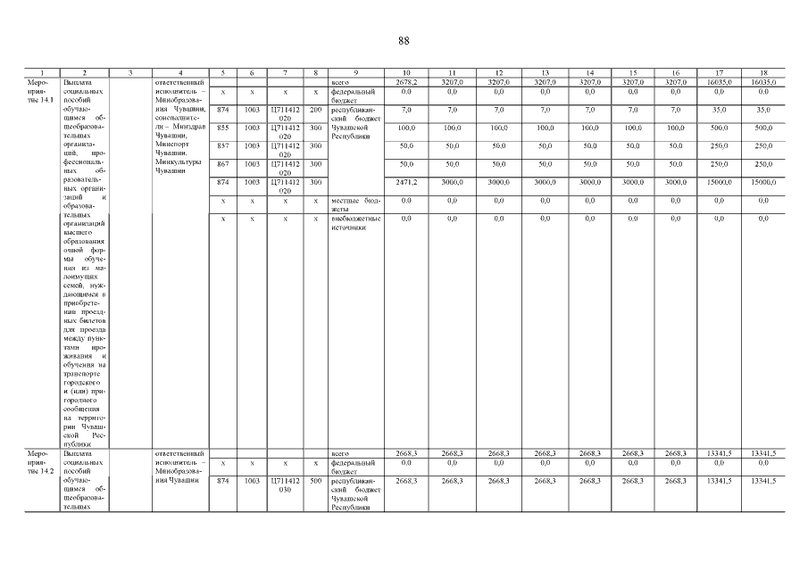
Постановление Кабинета Министров Чувашской Республики от 10.09.2019 № 365
"О внесении изменений в государственную программу Чувашской Республики "Развитие образования"
Номер опубликования: 2100201909160001
Дата опубликования: 16.09.2019
Страница №89 из 192:
Увеличить