Официальное опубликование правовых актов
ОФИЦИАЛЬНОЕ ОПУБЛИКОВАНИЕ
Постановление Кабинета Министров Чувашской Республики от 14.06.2019 № 226
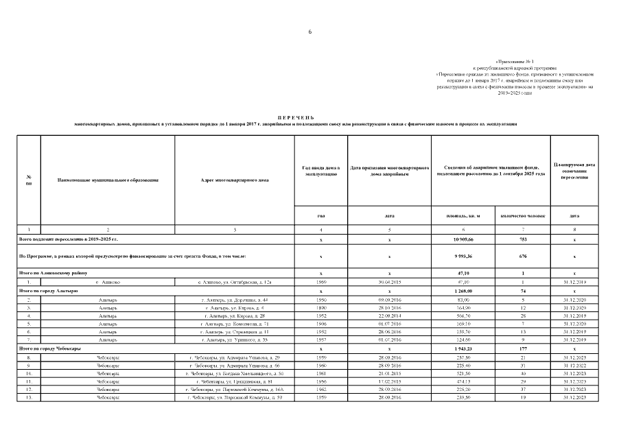
"О внесении изменений в республиканскую адресную программу "Переселение граждан из жилищного фонда, признанного в установленном порядке до 1 января 2017 г. аварийным и подлежащим сносу или реконструкции в связи с физическим износом в процессе эксплуатации" на 2019–2025 годы"
Номер опубликования: 2100201906180026
Дата опубликования: 18.06.2019
Страница №7 из 11:
Увеличить