Официальное опубликование правовых актов
ОФИЦИАЛЬНОЕ ОПУБЛИКОВАНИЕ
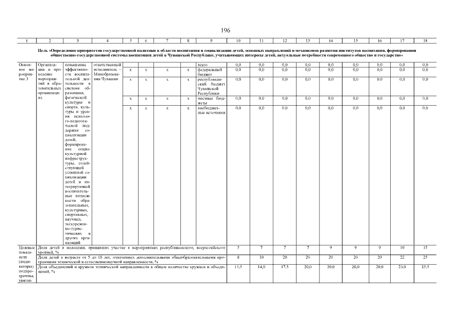
Постановление Кабинета Министров Чувашской Республики от 31.05.2019 № 186 "О внесении изменений в государственную программу Чувашской Республики "Развитие образования"
Номер опубликования: 2100201906040009
Дата опубликования: 04.06.2019
Страница №197 из 204:
Увеличить