Официальное опубликование правовых актов
ОФИЦИАЛЬНОЕ ОПУБЛИКОВАНИЕ
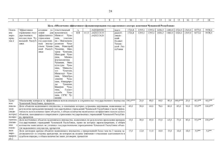
Постановление Кабинета Министров Чувашской Республики от 25.04.2019 № 136 "О внесении изменений в государственную программу Чувашской Республики "Развитие земельных и имущественных отношений"
Номер опубликования: 2100201904300012
Дата опубликования: 30.04.2019
Страница №25 из 30:
Увеличить