Официальное опубликование правовых актов
ОФИЦИАЛЬНОЕ ОПУБЛИКОВАНИЕ
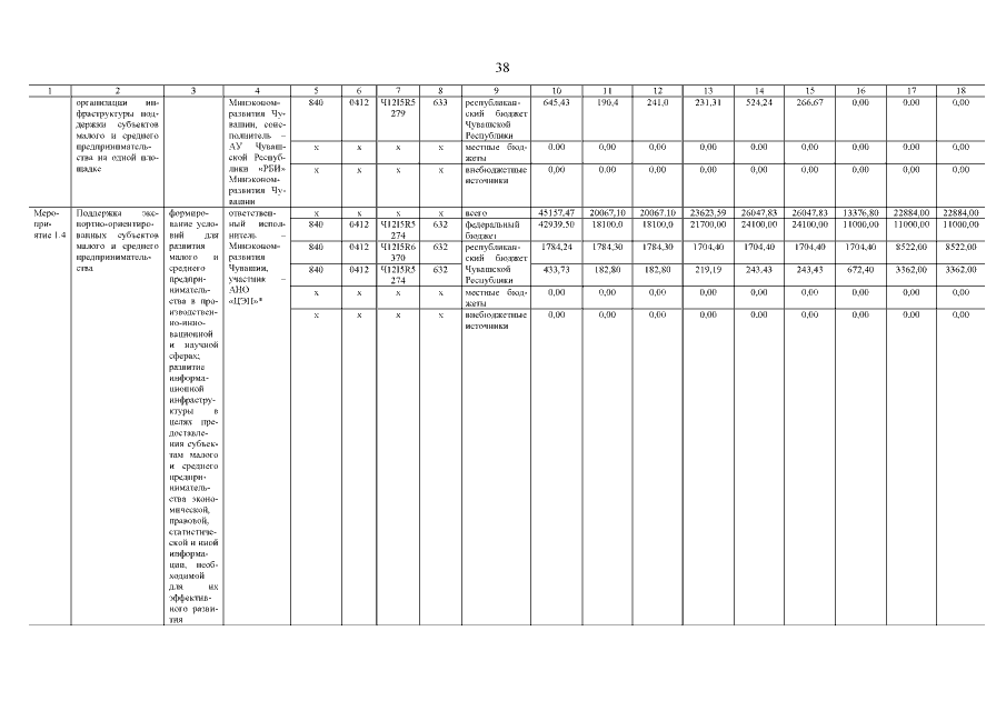
Постановление Кабинета Министров Чувашской Республики от 11.02.2019 № 22 "О внесении изменений в государственную программу Чувашской Республики "Экономическое развитие Чувашской Республики"
Номер опубликования: 2100201902130001
Дата опубликования: 13.02.2019
Страница №39 из 49:
Увеличить