Официальное опубликование правовых актов
ОФИЦИАЛЬНОЕ ОПУБЛИКОВАНИЕ
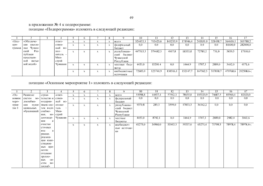
Постановление Кабинета Министров Чувашской Республики от 28.12.2018 № 572 "О внесении изменений в государственную программу Чувашской Республики "Развитие жилищного строительства и сферы жилищно-коммунального хозяйства"
Номер опубликования: 2100201812290002
Дата опубликования: 29.12.2018
Страница №50 из 52:
Увеличить