Официальное опубликование правовых актов
ОФИЦИАЛЬНОЕ ОПУБЛИКОВАНИЕ
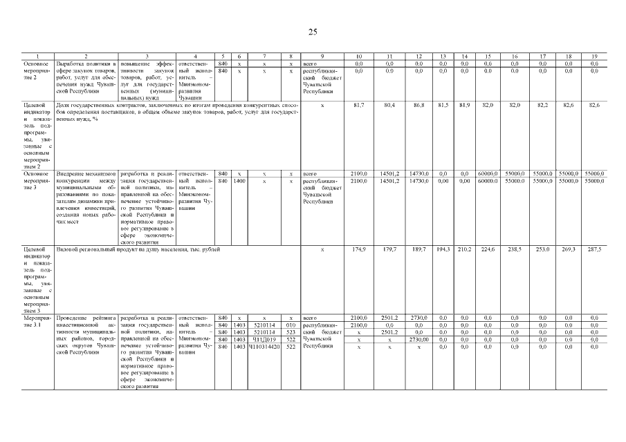
Постановление Кабинета Министров Чувашской Республики от 26.12.2018 № 562 "О внесении изменений в государственную программу Чувашской Республики "Экономическое развитие Чувашской Республики"
Номер опубликования: 2100201812280006
Дата опубликования: 28.12.2018
Страница №26 из 144:
Увеличить