Официальное опубликование правовых актов
ОФИЦИАЛЬНОЕ ОПУБЛИКОВАНИЕ
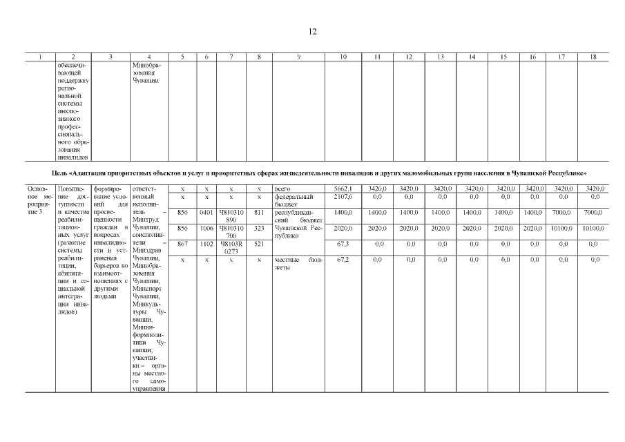
Постановление Кабинета Министров Чувашской Республики от 07.12.2018 № 500
"О государственной программе Чувашской Республики "Доступная среда"
Номер опубликования: 2100201812110001
Дата опубликования: 11.12.2018
Страница №67 из 153:
Увеличить