Официальное опубликование правовых актов
ОФИЦИАЛЬНОЕ ОПУБЛИКОВАНИЕ
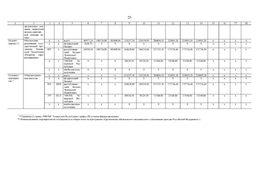
Постановление Кабинета Министров Чувашской Республики от 10.08.2018 № 315 "О внесении изменений в государственную программу Чувашской Республики "Развитие здравоохранения"
Номер опубликования: 2100201808130004
Дата опубликования: 13.08.2018
Страница №26 из 134:
Увеличить