Официальное опубликование правовых актов
ОФИЦИАЛЬНОЕ ОПУБЛИКОВАНИЕ
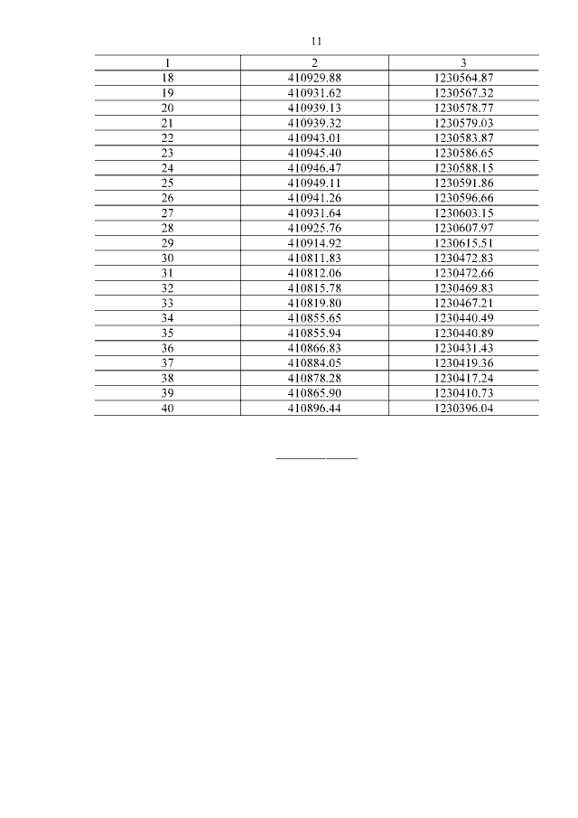
Постановление Кабинета Министров Чувашской Республики от 18.06.2018 № 227
"Об утверждении границ зон охраны объекта культурного наследия регионального (республиканского) значения "Здание ликеро-водочного завода "Чебоксарский", 1900 г.", особых режимов использования земель и требований к градостроительным регламентам в границах территорий данных зон"
Номер опубликования: 2100201806210014
Дата опубликования: 21.06.2018
Страница №13 из 20:
Увеличить