Официальное опубликование правовых актов
ОФИЦИАЛЬНОЕ ОПУБЛИКОВАНИЕ
Постановление Кабинета Министров Чувашской Республики от 14.02.2018 № 48
"О внесении изменений в постановление Кабинета Министров Чувашской Республики от 13 сентября 2013 г. № 377"
Номер опубликования: 2100201802160006
Дата опубликования: 16.02.2018
Страница №6 из 6:
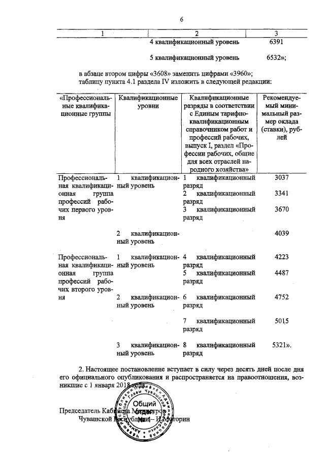
Увеличить