Официальное опубликование правовых актов
ОФИЦИАЛЬНОЕ ОПУБЛИКОВАНИЕ
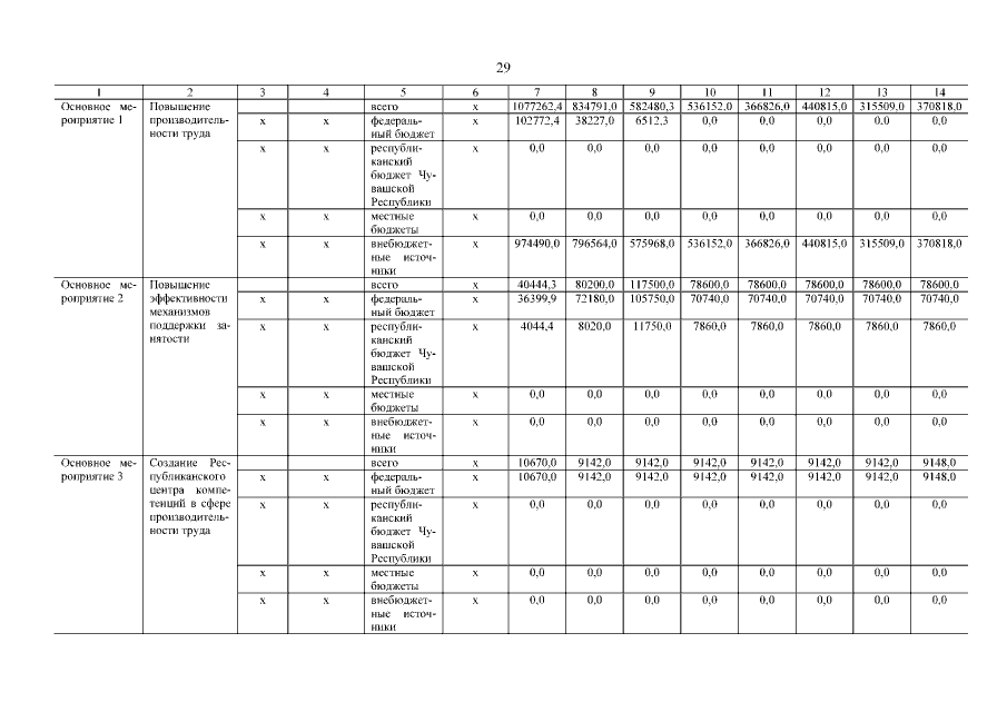
Постановление Кабинета Министров Чувашской Республики от 28.12.2017 № 547 "О внесении изменений в государственную программу Чувашской Республики "Развитие промышленности и инновационная экономика"
Номер опубликования: 2100201801040002
Дата опубликования: 04.01.2018
Страница №30 из 107:
Увеличить