Официальное опубликование правовых актов
ОФИЦИАЛЬНОЕ ОПУБЛИКОВАНИЕ
Закон Чувашской Республики от 28.09.2017 № 52
"О внесении изменений в Закон Чувашской Республики "О вопросах налогового регулирования в Чувашской Республике, отнесенных законодательством Российской Федерации о налогах и сборах к ведению субъектов Российской Федерации"
Номер опубликования: 2100201710040006
Дата опубликования: 04.10.2017
Страница №5 из 8:
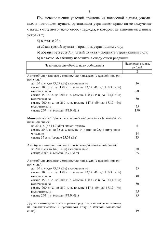
Увеличить