Официальное опубликование правовых актов
ОФИЦИАЛЬНОЕ ОПУБЛИКОВАНИЕ
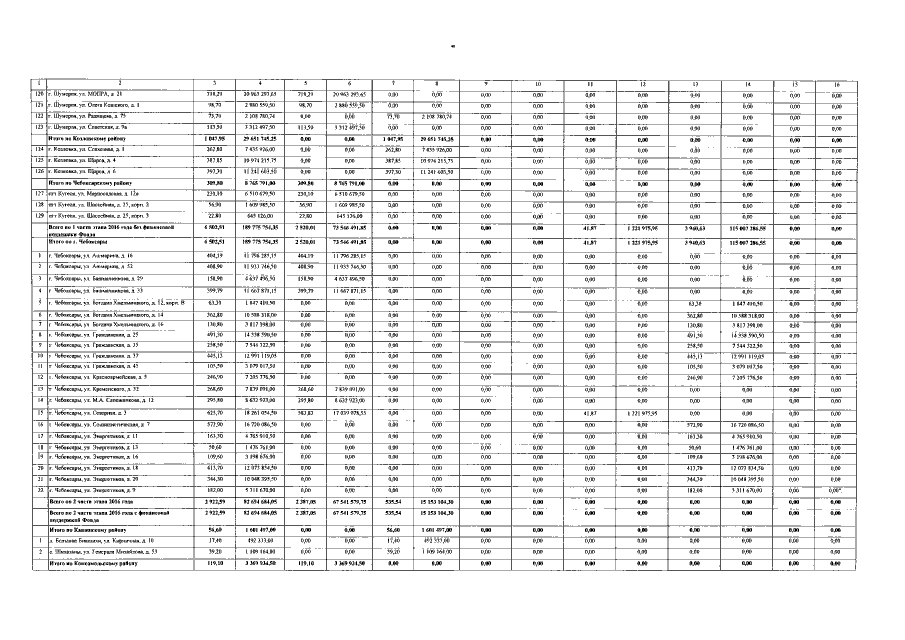
Постановление Кабинета Министров Чувашской Республики от 27.03.2017 № 113
"О внесении изменений в республиканскую адресную программу "Переселение граждан из аварийного жилищного фонда, расположенного на территории Чувашской Республики" на 2013–2017 годы"
Номер опубликования: 2100201703310002
Дата опубликования: 31.03.2017
Страница №49 из 54:
Увеличить