Официальное опубликование правовых актов
ОФИЦИАЛЬНОЕ ОПУБЛИКОВАНИЕ
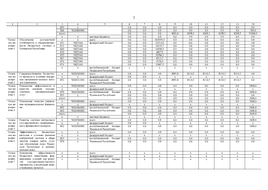
Постановление Кабинета Министров Чувашской Республики от 14.10.2016 № 426 "О внесении изменений в государственную программу Чувашской Республики "Управление общественными финансами и государственным долгом Чувашской Республики"
Номер опубликования: 2100201610180002
Дата опубликования: 18.10.2016
Страница №8 из 87:
Увеличить