Официальное опубликование правовых актов
ОФИЦИАЛЬНОЕ ОПУБЛИКОВАНИЕ
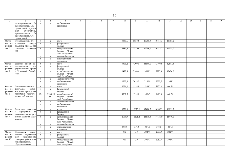
Постановление Кабинета Министров Чувашской Республики от 30.09.2016 № 412 "О внесении изменений в государственную программу Чувашской Республики "Развитие образования"
Номер опубликования: 2100201610040002
Дата опубликования: 04.10.2016
Страница №11 из 188:
Увеличить