Официальное опубликование правовых актов
ОФИЦИАЛЬНОЕ ОПУБЛИКОВАНИЕ
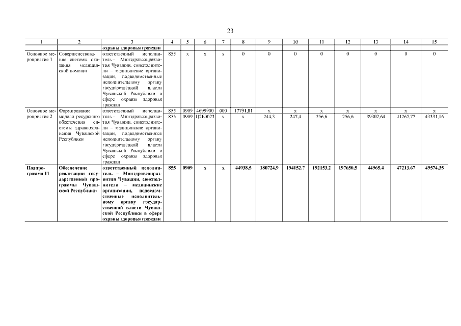
Постановление Кабинета Министров Чувашской Республики от 13.05.2015 № 185
"О внесении изменений в государственную программу Чувашской Республики "Развитие здравоохранения" на 2013–2020 годы"
Номер опубликования: 2100201505180023
Дата опубликования: 18.05.2015
Страница №24 из 88:
Увеличить