Официальное опубликование правовых актов
ОФИЦИАЛЬНОЕ ОПУБЛИКОВАНИЕ
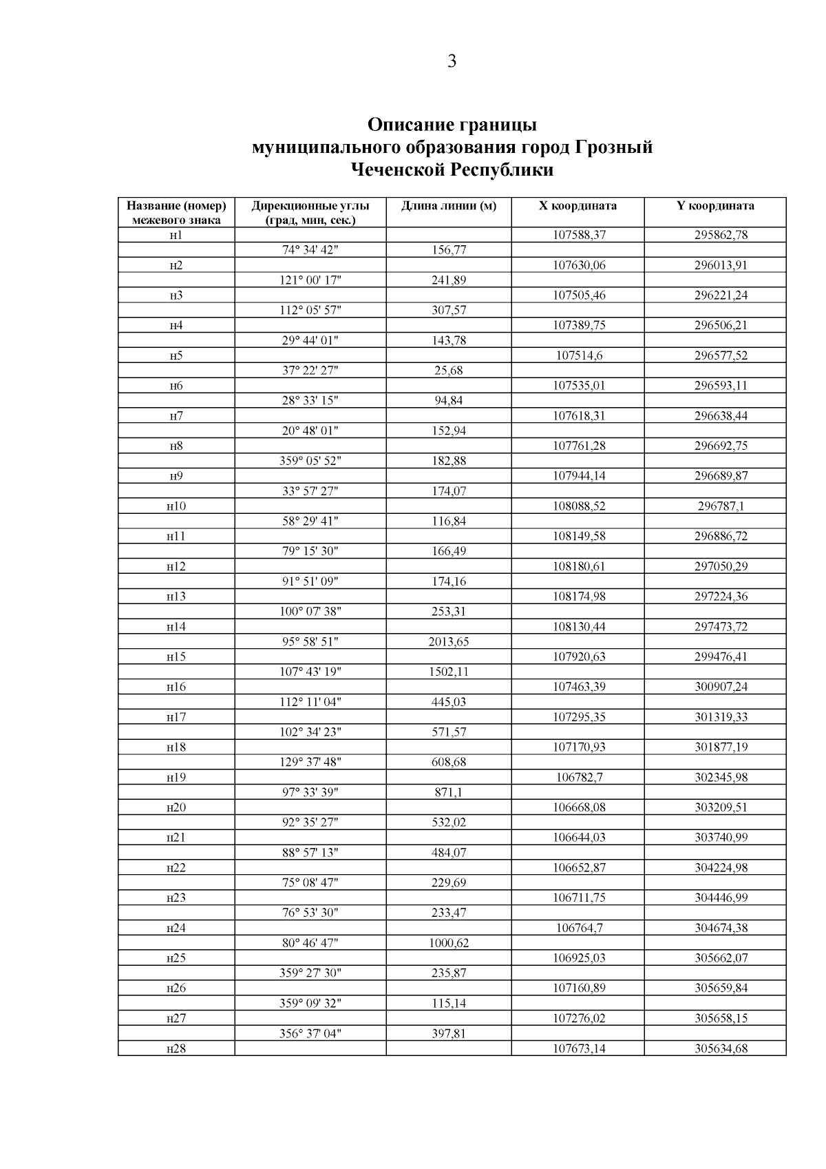
Закон Чеченской Республики от 05.06.2025 № 23-РЗ
"О ПРЕОБРАЗОВАНИИ ПЕРВОМАЙСКОГО, ПРОЛЕТАРСКОГО СЕЛЬСКИХ ПОСЕЛЕНИЙ И О ВНЕСЕНИИ ИЗМЕНЕНИЙ В НЕКОТОРЫЕ ЗАКОНОДАТЕЛЬНЫЕ АКТЫ ЧЕЧЕНСКОЙ РЕСПУБЛИКИ"
Номер опубликования: 2000202506110001
Дата опубликования: 11.06.2025
Страница №3 из 156:
Увеличить