Официальное опубликование правовых актов
ОФИЦИАЛЬНОЕ ОПУБЛИКОВАНИЕ
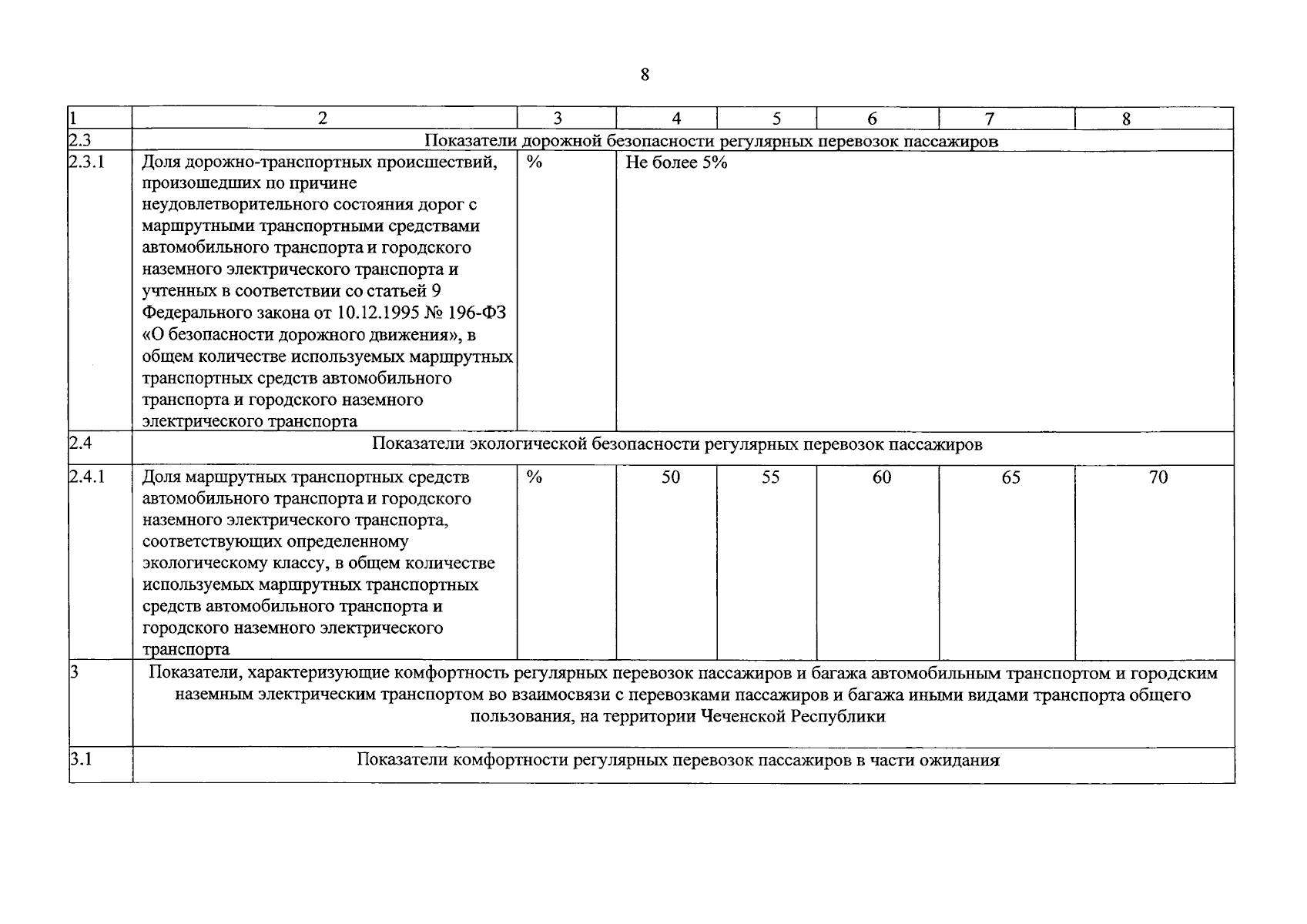
Постановление Правительства Чеченской Республики от 23.05.2025 № 134
"Об утверждении Регионального стандарта транспортного обслуживания населения на территории Чеченской Республики на период 2025-2029 годов"
Номер опубликования: 2000202505290015
Дата опубликования: 29.05.2025
Страница №8 из 11:
Увеличить