Официальное опубликование правовых актов
ОФИЦИАЛЬНОЕ ОПУБЛИКОВАНИЕ
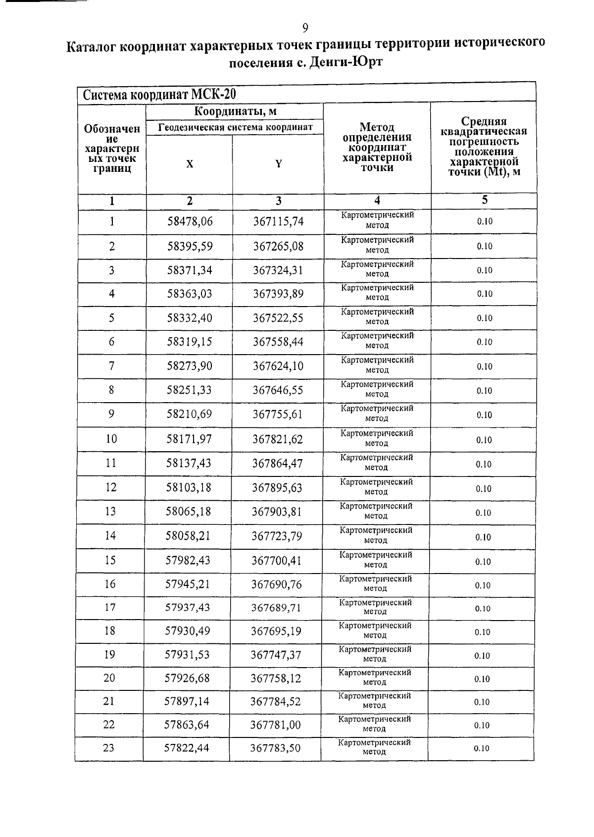
Постановление Правительства Чеченской Республики от 21.04.2025 № 121
"О включении села Денги-Юрг Ножай-Юртовского муниципальною района Чеченской Республики в Перечень исторических поселений, имеющих особое значение для истории и культуры Чеченской Республики"
Номер опубликования: 2000202504240003
Дата опубликования: 24.04.2025
Страница №9 из 33:
Увеличить