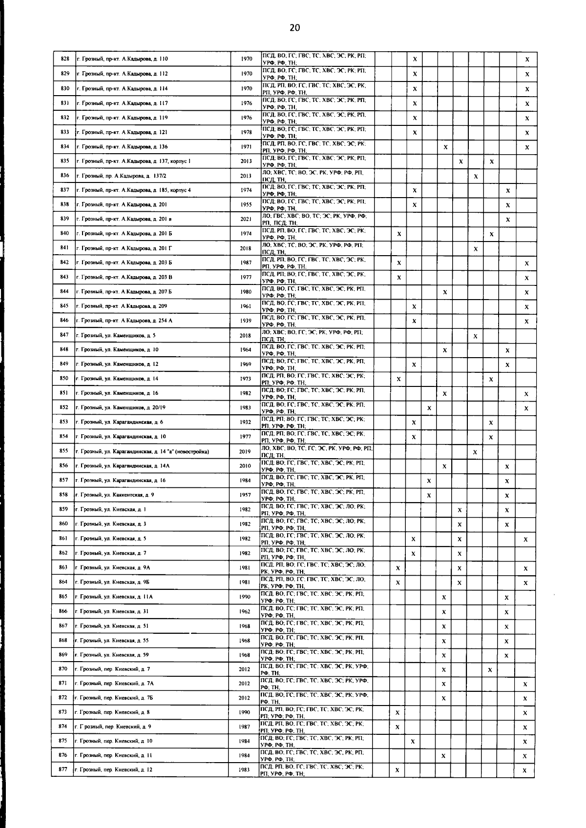
Официальное опубликование правовых актов
ОФИЦИАЛЬНОЕ ОПУБЛИКОВАНИЕ
Постановление Правительства Чеченской Республики от 13.02.2024 № 32
"О внесении изменений в постановление Правительства Чеченской Республики от 4 февраля 2014 года № 18"
Номер опубликования: 2000202402200040
Дата опубликования: 20.02.2024
Страница №20 из 39:
Увеличить