Официальное опубликование правовых актов
ОФИЦИАЛЬНОЕ ОПУБЛИКОВАНИЕ
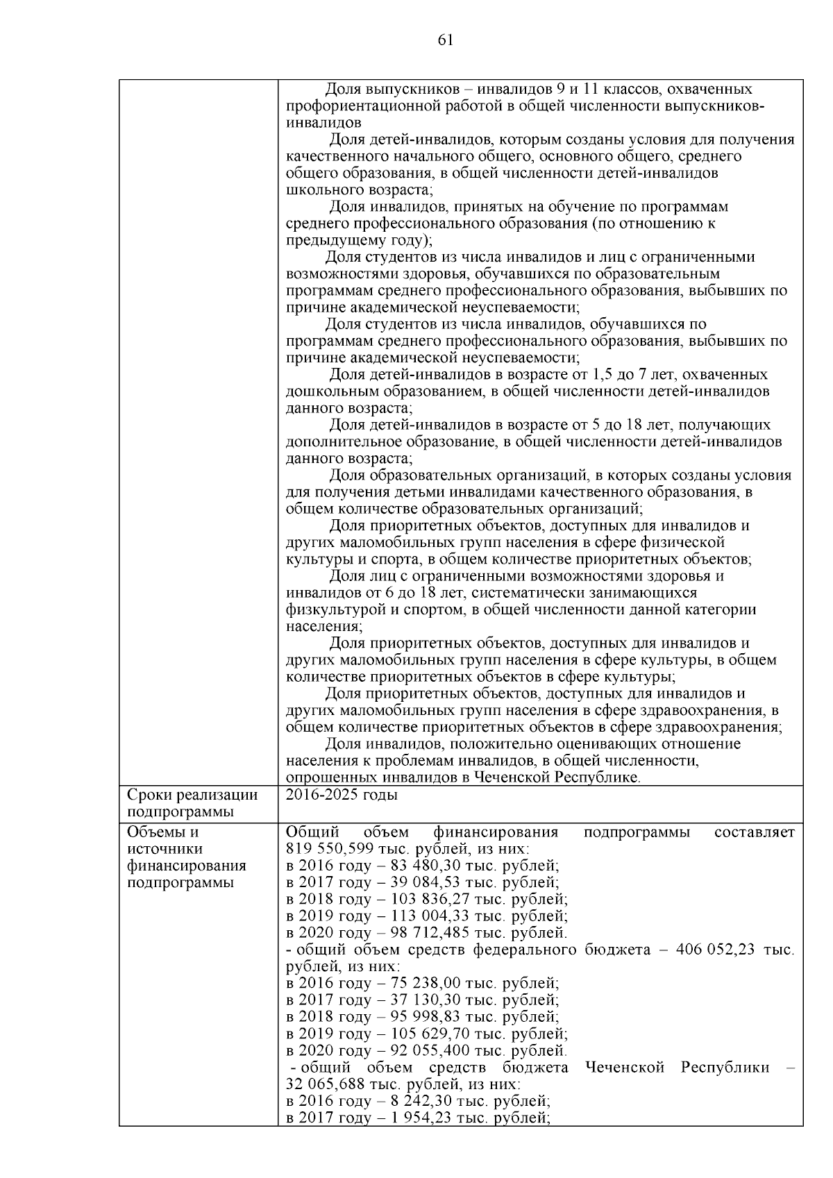
Постановление Правительства Чеченской Республики от 13.12.2023 № 305
"О внесении изменений в постановление Правительства Чеченской Республики от 19 декабря 2013 года № 346"
Номер опубликования: 2000202312200002
Дата опубликования: 20.12.2023
Страница №61 из 944:
Увеличить