Официальное опубликование правовых актов
ОФИЦИАЛЬНОЕ ОПУБЛИКОВАНИЕ
Постановление Правительства Чеченской Республики от 18.10.2022 № 252
"О внесении изменений в постановление Правительства Чеченской Республики от 19 декабря 2013 года № 347"
Номер опубликования: 2000202210240019
Дата опубликования: 24.10.2022
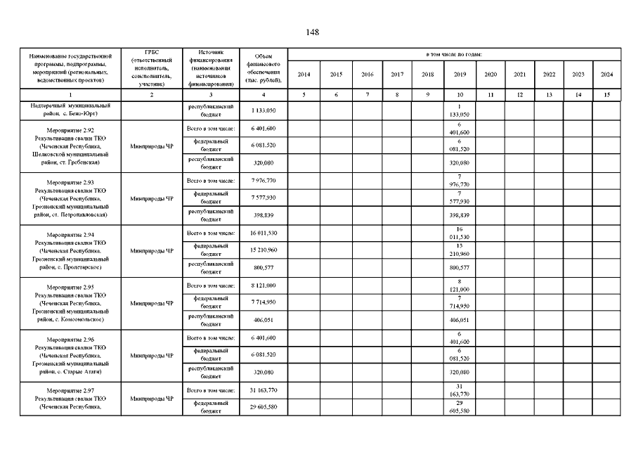
Страница №148 из 161:
Увеличить