Официальное опубликование правовых актов
ОФИЦИАЛЬНОЕ ОПУБЛИКОВАНИЕ
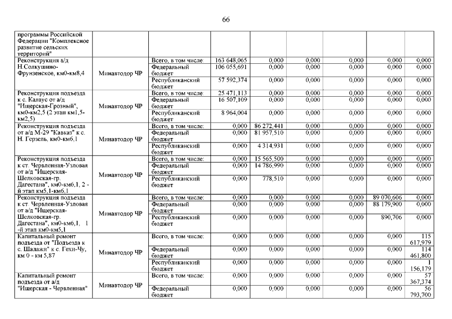
Постановление Правительства Чеченской Республики от 31.08.2022 № 211
"О внесении изменений в постановление Правительства Чеченской Республики от 12 февраля 2019 года № 30"
Номер опубликования: 2000202209080003
Дата опубликования: 08.09.2022
Страница №66 из 130:
Увеличить