Постановление Правительства Чеченской Республики от 31.08.2022 № 191
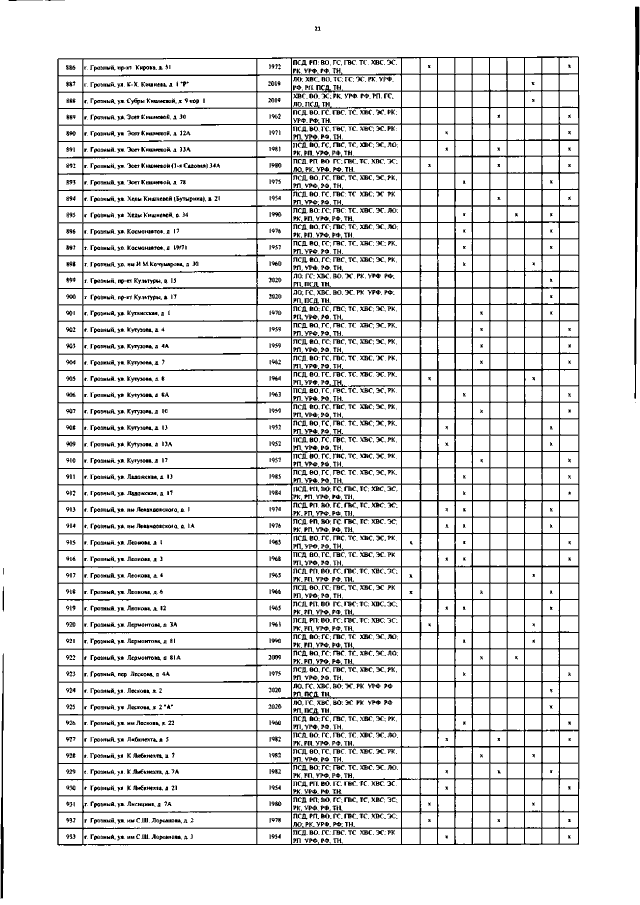
"О внесении изменений в региональную программу "Капитальный ремонт общего имущества в многоквартирных домах, расположенных на территории Чеченской Республики, на 2014-2043 годы"
"О внесении изменений в региональную программу "Капитальный ремонт общего имущества в многоквартирных домах, расположенных на территории Чеченской Республики, на 2014-2043 годы"
Номер опубликования: 2000202209070009
Дата опубликования:
07.09.2022
