Официальное опубликование правовых актов
ОФИЦИАЛЬНОЕ ОПУБЛИКОВАНИЕ
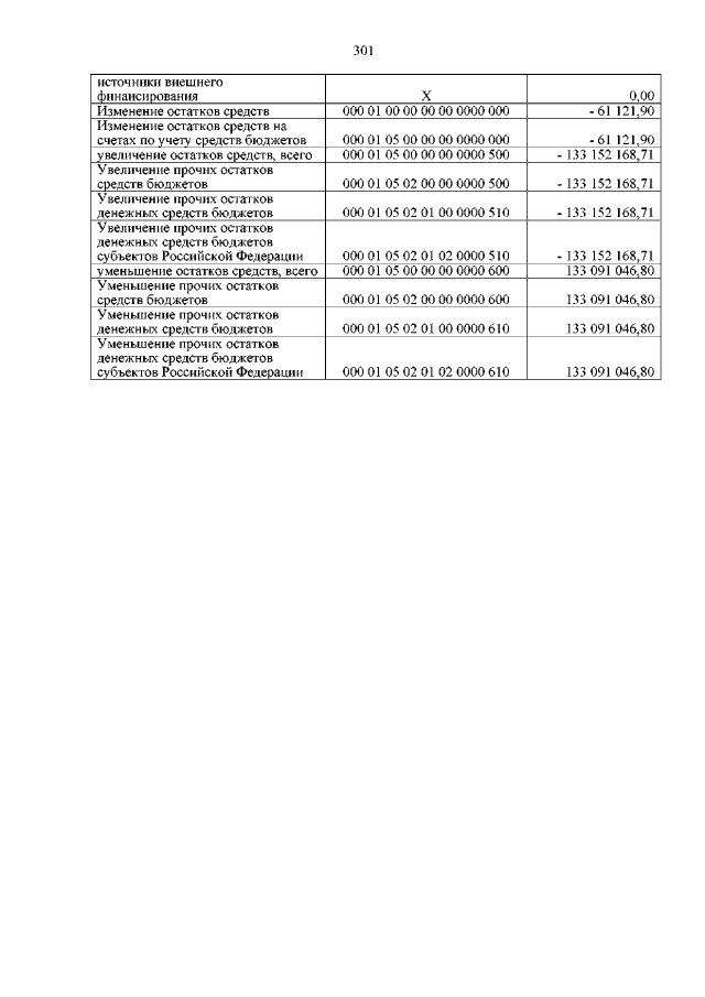
Закон Чеченской Республики от 08.07.2022 № 40-рз
"ОБ УТВЕРЖДЕНИИ ОТЧЕТА ОБ ИСПОЛНЕНИИ РЕСПУБЛИКАНСКОГО БЮДЖЕТА ЗА 2021 ГОД"
Номер опубликования: 2000202207150004
Дата опубликования: 15.07.2022
Страница №301 из 301:
Увеличить