Официальное опубликование правовых актов
ОФИЦИАЛЬНОЕ ОПУБЛИКОВАНИЕ
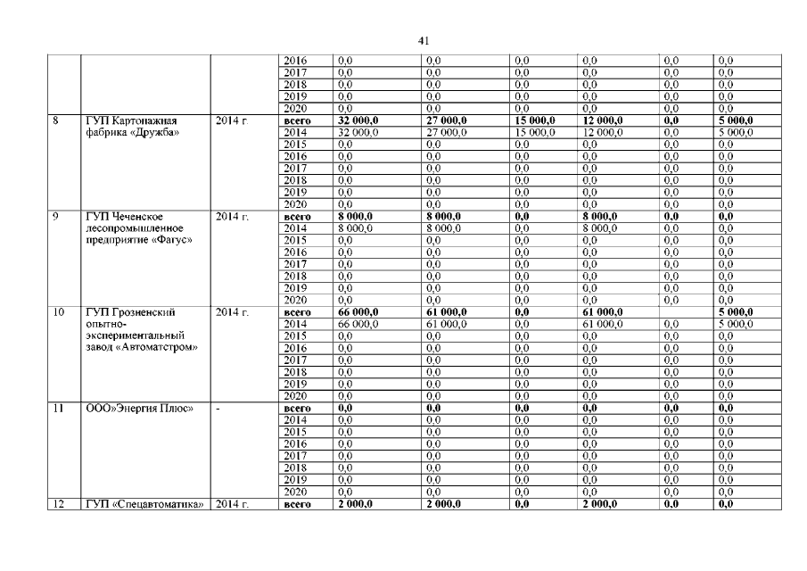
Постановление Правительства Чеченской Республики от 21.12.2021 № 340
"О внесении изменений в постановление Правительства Чеченской Республики от 3 декабря 2013 года № 315"
Номер опубликования: 2000202112270006
Дата опубликования: 27.12.2021
Страница №41 из 115:
Увеличить