Официальное опубликование правовых актов
ОФИЦИАЛЬНОЕ ОПУБЛИКОВАНИЕ
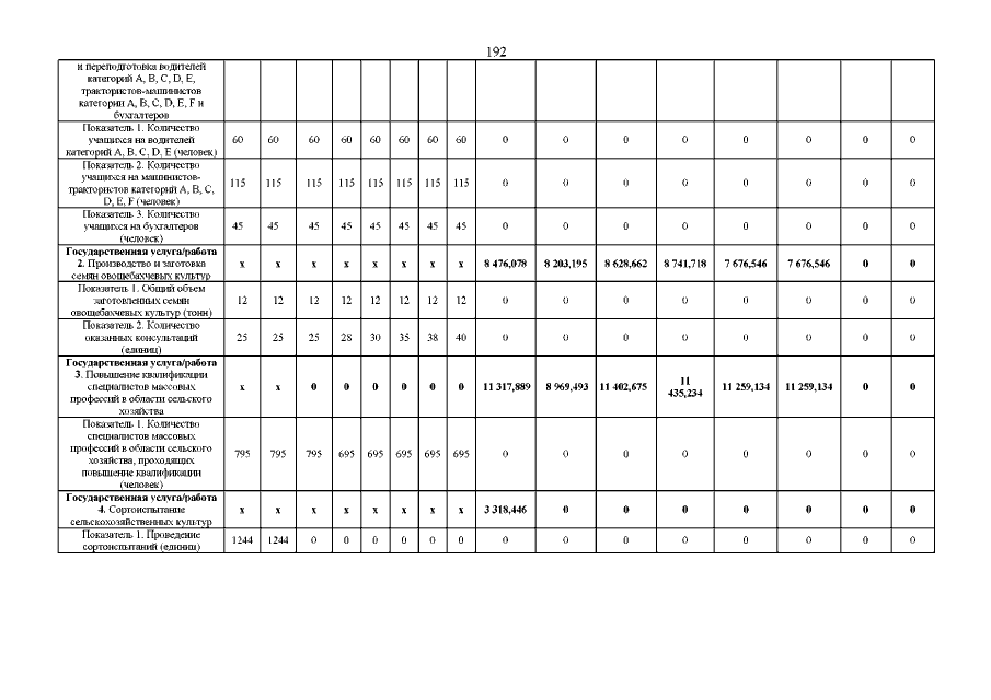
Постановление Правительства Чеченской Республики от 16.03.2021 № 36
"О внесении изменений в постановление Правительства Чеченской Республики от 3 декабря 2015 года № 312"
Номер опубликования: 2000202103220004
Дата опубликования: 22.03.2021
Страница №192 из 212:
Увеличить