Официальное опубликование правовых актов
ОФИЦИАЛЬНОЕ ОПУБЛИКОВАНИЕ
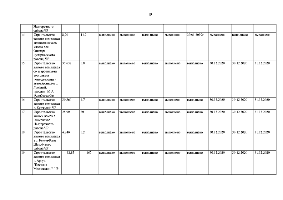
Постановление Правительства Чеченской Республики от 08.12.2020 № 367
"О внесении изменений в постановление Правительства Чеченской Республики от 19 декабря 2013 года № 353"
Номер опубликования: 2000202012140016
Дата опубликования: 14.12.2020
Страница №19 из 44:
Увеличить