Официальное опубликование правовых актов
ОФИЦИАЛЬНОЕ ОПУБЛИКОВАНИЕ
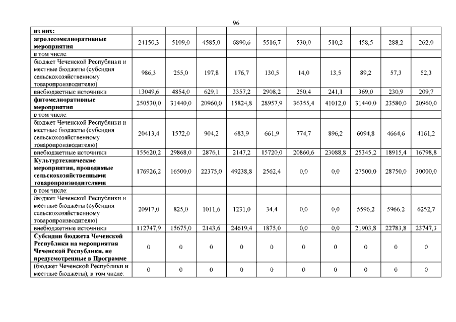
Постановление Правительства Чеченской Республики от 08.12.2020 № 347
"О внесении изменений в постановление Правительства Чеченской Республики от 3 декабря 2013 года № 312"
Номер опубликования: 2000202012140002
Дата опубликования: 14.12.2020
Страница №96 из 226:
Увеличить