Официальное опубликование правовых актов
ОФИЦИАЛЬНОЕ ОПУБЛИКОВАНИЕ
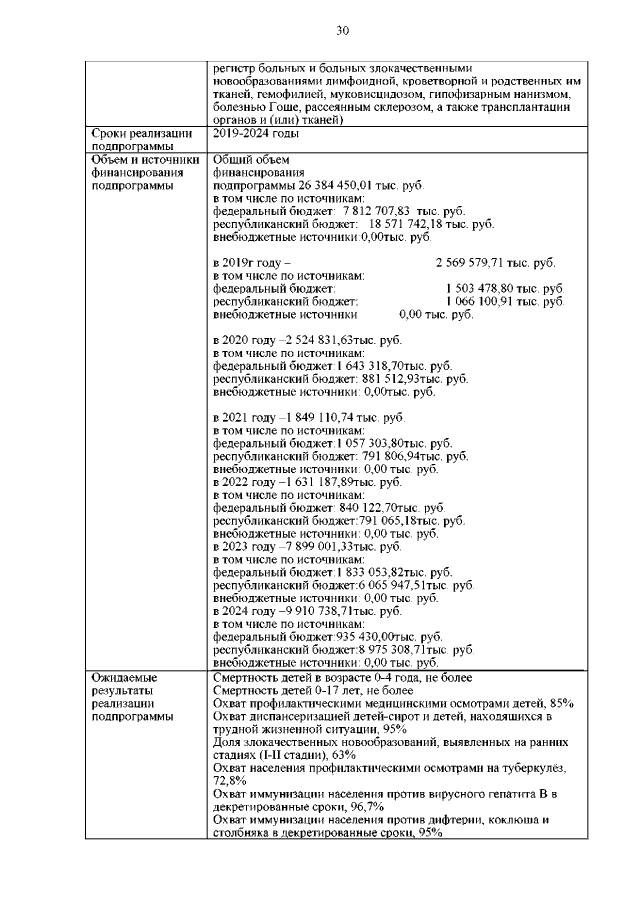
Постановление Правительства Чеченской Республики от 03.06.2020 № 116
"О внесении изменений в постановление Правительства Чеченской Республики от 12 февраля 2019 года № 20"
Номер опубликования: 2000202006110006
Дата опубликования: 11.06.2020
Страница №30 из 351:
Увеличить